Zeiss Otus ML 50mm f1.4 review
-
-
Written by Thomas
Quality
Longitudinal Chromatic Aberration and focus shift
I tested the Zeiss Otus ML 50mm f1.4 for longitudinal color aberrations (loCA, a.k.a. “axial color” or “bokeh CA”) and focus shift. The former can show up as magenta coloration in the foreground and greenish hues in the background and are not easily corrected in post-processing. The lens shows some loCA but no focus shift – although the foreground becomes sharper a bit faster than the background when stopping the lens down.
The following images are 50% crops from 180MP images obtained from 16 image Pixel shift shooting on a 45MP Nikon Z8. This has the advantage of eliminating color moiré which would otherwise distract from the coloration from loCA. You can click on the images to access the full resolution 100% crops.
Zeiss Otus ML 50mm f1.4 loCA; 50% crop from 180MP image
Above from top to bottom: f1.4, f2.0, f2.8; left = foreground, right = background
You can also observe that the lens is not tack sharp at f1.4. In my test-shots I also detected some purple fringing around high-contrast edges or specular highlights in the focus plane. Spill-over of bright background light is also an issue as is green outlining around background subjects.
Above: Zeiss Otus ML 50mm f1.4 at f1.4, 100% crop; click image for 4k version, here for large original
The Nikon Z 50mm f1.8 S, Nikon Z 50mm f1.2 S, and Voigtländer 50mm f2 APO-Lanthar are better in this respect.
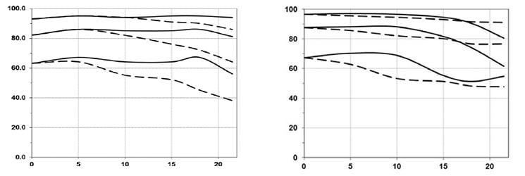
Sharpness and contrast
Let’s have a look at the theoretical performance of the Nikon Z 50mm f1.4 and compare it to their Z 50mm f1.8 S:

Above: Zeiss Otus ML 50mm f1.4 at f1.4 (left), Zeiss Otus 55mm f1.4 at f1.4 (right)

Above: Nikon Z 50mm f1.4 at f1.4 (left), Z 50mm f1.2 S at f1.2 (right)

Above: (left), Voigtländer 50mm f2 APO-Lanthar at f2.0 (left), Nikon Z 50mm f1.8 S at f1.8 (right)
The MTF charts of the Nikon lenses show the computed lens-performance wide open without influence of diffraction at 10 line-pairs/mm (in red) and 30 lp/mm (in blue). The lenses from Zeiss and Voigtländer show real measurement results at 10 lp/mm, 20 lp/mm, and 40 lp/mm. Higher values are better (more contrast) and the closer the dotted and solid lines are together the less astigmatism (= resolution depends on the orientation of the test-pattern) the lens has. The x-axis displays the “image height” which is the distance from the optical axis (=center of the sensor) in mm. I’ll show you the real-life performance at 4 mm (“center”), 13 mm (DX-corner), and 20 mm (FX-corner) on a 45MP Nikon Z8 camera.
From the charts the Zeiss Otus ML 50mm f1.4 is definitively softer in the center than the Zeiss Otus 55mm f1.4 but Zeiss does seem to have improved FX/FF corner performance. The Nikon Z 50mm f1.4 should be the softest lens in this comparison while the Nikon Z 50mm f1.8 S, Z 50mm f1.2 S, and the Voigtländer seem to be on a comparable level (considering the different focal ratios).
Let’s see how this theoretical performance translates into real life results in the sharpness test based on Siemens-stars shot on a 45MP Nikon Z8 set to 16 image Pixel shift shooting. The 16 individual images for each shot were merged in NX Studio 1.9.0 into a 180MP RAW file and further processed in Lightroom 14.4/CRAW 17.4 to Adobe Color profile with the lens profile compensating CA, distortions and vignetting. Noise-reduction was set to 0, sharpening to 50/1/36/10, with no extra tone, color, or saturation adjustment. White-balance was adjusted to a neutral white and I did some exposure compensation to make the brightness of all crops match. So you will not see light fall-off in the corners. I also focused separately for the center, the DX-corner, and FX-corner which eliminates any effect field-curvature might have. If you want to know more about the advantages and perils of pixel shift shooting head over to page 2 of my Tamron 28-75mm f2.8 Nikon Z review.
The following 50% crops from 180MP images show the Zeiss Otus ML 50mm f1.4 from f1.4 down to f11 compared to the Nikon Z 50mm f1.4, Nikon Z 50mm f1.8 S and Voigtländer 50mm f2 APO-Lanthar shot under the same conditions. There are also comparisons with the Zeiss Otus 55mm f1.4 and the Nikon Z 50mm f1.2 S shot in standard mode on a Nikon Z7/Z8 presented as 100% crops from 45MP images.
Zeiss Otus ML 50mm f1.4 compared; 50% crops from 180MP image
Above: Zeiss Otus ML 50mm f1.4 at f1.4; click image for full resolution 100% crops
Above: Zeiss Otus 55mm f1.4 at f1.4; 100% crops from 45MP, also available at f1.8, f2.0, f2.8, f4.0, f5.6, f8.0, f11
Above: Nikon Z 50mm f1.2 S at f1.4; 100% crops from 45MP, also available at f1.2, f1.8, f2.0, f2.8, f4.0, f5.6, f8.0, f11
Above: Nikon Z 50mm f1.4 at f1.4; click image for full resolution 100% crops; also available at f1.8, f2.0, f2.8, f4.0, f5.6, f8.0, f11
Above: Zeiss Otus ML 50mm f1.4 at f1.8; click image for full resolution 100% crops

Above: Nikon Z 50mm f1.8 S at f1.8; click image for full resolution 100% crops; also available at f2.0, f2.8, f4.0, f5.6, f8.0, f11
Above: Zeiss Otus ML 50mm f1.4 at f2.0; click image for full resolution 100% crops

Above: Voigtländer 50mm f2 APO-Lanthar at f2.0; click image for full resolution 100% crops; also available at f2.8, f4.0, f5.6, f8.0, f11
Above: Zeiss Otus ML 50mm f1.4 at f2.8; click image for full resolution 100% crops
Above: Zeiss Otus ML 50mm f1.4 at f4.0; click image for full resolution 100% crops; also available at f5.6, f8.0, f11
Wide open, the Zeiss Otus ML 50mm f1.4 is a bit soft within the DX/APS-C image-circle compared to its predecessor and the Nikon Z 50mm f1.2 S. The FX/FF-corner is comparable to the Nikon Z 50mm f1.2 S but softer than its predecessor. Stopping down to f1.8 makes the Z 50mm f1.8 S a slightly better choice, especially at the DX-corner. At f2.0 the Voigtländer 50mm f2 APO-Lanthar comes into play and shows comparable sharpness in the center but is sharper towards the corners than the Otus ML 50mm f1.4. The new Otus catches up at f2.8 from whereon there’s little to complain about. At the testing distance of 2.3m field-curvature of the Zeiss Otus ML 50mm f1.4 is pretty low.
Summary:
Wide open the Zeiss Otus ML 50mm f1.4 is a bit soft but sharpens up nicely when stopped down to f2.0 or f2.8. From then on the lens is easily good for 180MP pixel shift shooting. But competition is tight: Except for the Nikon Z 50mm f1.4 every other alternative in the comparison outperforms the Otus ML 50mm f1.4 by a small margin.
Performance at long distances
The Siemens-star test-targets are shot at a distance of 45x focal length (i.e. at around 2.3m). But performance of lenses also depends on the shooting distance. Therefore, I shot another series of a city around 1 km away on a Nikon Z8 set to 16 image pixel shift shooting. The 16 individual images for each shot were merged in NX Studio 1.9.0 into a 180MP RAW file and further processed in Lightroom 14.5/CRAW 17.5 to Adobe Color profile with the Adobe’s lens profile compensating distortions and vignetting. Noise-reduction was set to 0, sharpening to 50/1/36/10, with no extra tone, color, or saturation adjustment. But as the weather was overcast and general contrast of the scene pretty low I added +20 in contrast to make it easier to judge fine details. I used manual focus at the largest aperture and did not change focus for other apertures. All shots were made from a heavy tripod with image stabilization switched off at ISO 64. As usual I have selected the diagonal that provided the better corner results as the lens was slightly decentered.
The following images show the complete scene wide open plus 50% crops from near center, DX-corner, and FX-corner. All crops in a row are from the same image so there is no compensation for field curvature. You can access the large 180MP original at f1.4 plus 100% crops, but the files are for personal evaluation only and cannot be used in another publication or website without permission.
Above: Zeiss Otus ML 50mm f1.4 at f1.4; click image for 4k version, here for large 180MP original
Above: Zeiss Otus ML 50mm f1.4 at f1.4; click image for 100% crops
Above: Zeiss Otus ML 50mm f1.4 at f1.8; click image for 100% crops
Above: Zeiss Otus ML 50mm f1.4 at f2.0; click image for 100% crops
Above: Zeiss Otus ML 50mm f1.4 at f2.8; click image for 100% crops
Above: Zeiss Otus ML 50mm f1.4 at f4.0; click image for 100% crops, also available at f5.6, f8.0
Summary:
At long distances the results from the previous test are confirmed: The Zeiss Otus ML 50mm f1.4 is a bit soft in the center wide open but sharpens up visibly when stopped down to f2.0. The APS-C/DX-corner and FF/FX-corner can profit from stopping further down to render very sharp images across the full-frame sensor.
Vignetting and distortions
To make it easier to see light fall-off in the corners of a full-frame sensor I’ve arranged a series of three shots each with the Zeiss Otus ML 50mm f1.4. Processing was done in Lightroom 14.5/CRAW 17.5 from RAW to Adobe Color profile with Adobe’s lens profile compensating vignetting and distortions, and developed to the same brightness in the center. They are shown with vignette control Off resp. at 100%:

Vignetting: Zeiss Otus ML 50mm f1.4, as is (top) / with Adobe lens-profile at 100% (bottom)
Wide open vignetting is pretty strong (~2.5 EV) when left uncorrected. Stopping down to f2.0 reduces vignetting 1.0 EV. With vignette control from Adobe’s lens profile set to 100% the extreme corners are lifted by a whopping +1.9 EV at f1.4. This is far more than I usually measure with integrated lens profiles set to “Normal” which result in a less than +1 EV lift. But at least you can reduce the amount of correction in Adobe’s lens profile to get a more naturally looking amount of vignette. That’s not a problem when shooting RAW but JPGs and videos straight out of camera are not corrected. This leads to very heavy vignetting when shooting at f1.4.
Handling of lens profiles by Adobe’s RAW converter continues to be confusing: On importing a RAW-file shot with a Zeiss Otus ML lens Lightroom shows that an integrated lens profile was automatically applied for correction of color aberrations, vignetting, and distortions. But the integrated profile of the Zeiss Otus ML only has data for CA correction, so vignetting and distortions are not corrected. Only when you manually switch the lens profile in Lightroom from “integrated” to “Zeiss ML” you get those corrections with sliders to control the strength of vignetting and distortion correction between 0 and 200%.
The following composite image shows the upper half of a large screen TV set displaying grid lines for the full frame and cropped frame. Distortions are slightly pincushion and are well corrected by Adobe’s lens profile set to 75%:

Distortions: Zeiss Otus ML 50mm f1.4, as is (top) / with Adobe lens-profile at 75% (bottom)
Rendering of point-light sources at night-shots
Night-shots pose a different challenge for lenses as the contrast is even higher than under bright sun and point-light sources can reveal some weaknesses such as coma, haloing and colour-aberrations that do not show up as prominently in other test-shots. The 100% crops below the main image show the effect of coma in the FX-corner of the Zeiss Otus ML 50mm f1.4 at different apertures:
Above: Zeiss Otus ML 50mm f1.4 at f1.4; click image for 4k version, here for large original

Above: Zeiss Otus ML 50mm f1.4; 100% crops from the FX-corner at f1.4, f2.0, f2.8
The Zeiss Otus ML 50mm f1.4 produces pretty low coma. Stopping down to f2.0 resolves any issues.
Bokeh quality
This test is for the rendering of point-light sources in an out-of-focus background. The circle of confusion that is produced by the test is pretty indicative of Bokeh performance (in the background) and light fall-off. Ideally the out-of-focus image of the point-light is evenly lit and perfectly circular, with no “onion-rings”, and without coloration. Large aperture lenses normally produce an effect known as “cat’s eye” the further away from the optical axis the point-light is projected. This is due to optical vignetting in the lens barrel when light enters the lens from an angle.
The following crops at different apertures are from near the center, APS-C/DX-corner, and FF/FX-corner resized to make them comparable across all my reviews.
Above: Zeiss Otus ML 50mm f1.4 at f1.4; click image for 4k version
Above: Zeiss Otus ML 50mm f1.4 at f1.4; click image for 100% crops
Above: Zeiss Otus ML 50mm f1.4 at f2.0; click image for 100% crops
Above: Zeiss Otus ML 50mm f1.4 at f2.8; click image for 100% crops
Above: Zeiss Otus ML 50mm f1.4 at f4.0; click image for 100% crops
The diameter of the Bokeh balls in the center is determined by the entrance pupil of the lens which is 36mm. Compression of the circle towards the corners is pretty strong wide open but is (almost) gone at f2.8. The inside of the Bokeh balls shows some light onion-rings and a dark(er) spot. They also exhibit some outlining especially at f1.4 with a bit of green coloration from loCA.
Let’s see how this analysis of out-of-focus point-light sources translates into Bokeh-performance shooting a book-shelf. Crops are from the foreground, middle-ground, and background resized to make them comparable across all my reviews.
Above: Zeiss Otus ML 50mm f1.4 at f1.4; click image for 4k version, here for large original
Above: Zeiss Otus ML 50mm f1.4 at f1.4; click image for 100% crops, here for large original
Above: Zeiss Otus 55mm f1.4 at f1.4; click image for 100% crops, here for large original
Above: Nikon Z 50mm f1.2 S at f1.2; click image for 100% crops here for large original
Above: Nikon Z 50mm f1.4 at f1.4; click image for 100% crops, here for large original
Above: Nikon Z 50mm f1.8 S at f1.8; click image for 100% crops, here for large original
Above: Voigtländer 50mm f2 APO-Lanthar at f2.0; click image for 100% crops, here for large original
In this test the Nikon Z 50mm f1.2 S is certainly “king of Bokeh” and the Voigtländer has the least blurry Bokeh. The Zeiss Otus ML 50mm f1.4 looks a bit softer in the background than its predecessor and the Nikon Z 50mm f1.4 or the Nikon Z 50mm f1.8 S. In the transition zone both Otus lenses look pretty similar and appear less nervous than the Nikon Z 50mm f1.4.
Looking at the ruler (below, now at 100%) shows that the Zeiss Otus ML 50mm f1.4 shows little tendency to produce double-contours:
Above: Zeiss Otus ML 50mm f1.4 at f1.4, 100% crops
Close-up performance
The Nikon Z 50mm f1.4 achieves a maximum magnification of 1:7.3 in close-up shooting. The following crops are at 1:7.5 from 0mm, 13mm, and 19mm off the center of the sensor respectively. The area of sharp focus is 180 x 270mm. I focused separately for each crop although field curvature of the lens is pretty mild.
Zeiss Otus ML 50mm f1.4, 1:7.5 magnification; 100% crops

Above: Zeiss Otus ML 50mm f1.4 at f1.4
Although a magnification of 1:7.5 is not much, I was quite pleasantly surprised at how sharp the lens is across the sensor even at f1.4! Stop it down a bit and the Zeiss Otus ML 50mm f1.4 can produce very sharp close-up shots. This is better than any other lens in my comparison and especially much, much sharper than the Nikon Z 50mm f1.4
Flare, ghosting, and sunstars
Catching a strong light-source shining directly into the lens is always a risky business: it could produce strange colorful ghost-images or reduce contrast considerably through flare and glare. The appearance of flare and ghosting depends on factors like the aperture and the angle of the light hitting the lens. To judge the proclivity of the Zeiss Otus ML 50mm f1.4 for these artifacts I went through a series of well calculated shots at f11 and f1.4 against a strong light source to provoke glare and ghosting. The lens hood was mounted in all shots. Following is one of the more telling example results. The little bright square inset in the upper left shows the respective area with an exposure compensation of +3 EV to make it easier to see which levels of black the lens renders at that point:
Above: Flare and ghosting. Strong light hitting the Zeiss Otus ML 50mm f1.4 at f11; click image for 4k version or here for +3 EV exposure compensation
The Otus ML 50mm f1.4 has flares and ghosting well controlled and produces a deep level of black outside these artifacts. You can shoot the lens confidently under adverse contra-light conditions.
Sunstars are quite visible even at f4.0 and get stronger when the lens is stopped down to f8.0 or f11. The Zeiss Otus ML lenses produce 10 diffraction spikes because their aperture has 10 segments.

Above from left to right: Sunstars from the Zeiss Otus ML 50mm f1.4 at f4.0, f5.6, f8.0; 100% crops
Next check out my sample images!
Check prices on the Zeiss Otus ML 50mm f1.4 at B&H, Adorama, WEX UK or Calumet.de. Buy used gear from MPB. Sell your used gear to MPB. Alternatively get yourself a copy of my In Camera book, an official Cameralabs T-shirt or mug, or treat me to a coffee! Thanks!



































