Tamron 70-210mm f4 VC review
-
-
Written by Thomas
Quality
Sharpness and contrast
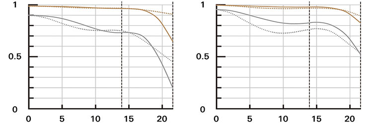
Let’s have a look at the theoretical performance of the new lens (first pair of MTF-charts) at the wide and the long end first and compare it to the performance of the Tamron 70-200/2.8 VC G2 (second pair of MTF-charts):

Above: Tamron 70-210mm f4 VC MTF; left at 70mm, f4.0; right at 210mm, f4.0

Above: Tamron 70-200/2.8 VC G2 MTF; left at 70mm, f2.8; right at 200mm, f2.8
These charts show the lens-performance wide open without influence of diffraction. To read these charts you need to know that higher values are better and the closer the line-pairs are together the less astigmatism (= resolution depends on the orientation of the test-pattern) the lens has. The x-axis displays the distance from the optical axis (=center of the sensor) in mm. I’ll show you the real-life performance at 4 mm (center), 13 mm (APS-C/DX-corner), and 20 mm (FF/FX-corner) on a D850 below.
From the charts, the new Tamron should be outperformed by its larger (and older) sibling: at almost any point the f2.8 Tamron is sharper and produces a higher contrast at f2.8 than the new zoom shows at f4.0. When you stop down the f2.8 Tamron to f4.0 its values should be even higher thus increasing the performance lead of the Tamron 70-200/2.8 VC G2 over the 70-210mm f4 VC. But let’s see how this theoretical performance translates into real life results in the sharpness test based on Siemens-stars.
What follows are near-center results (first column) followed by APS-C/DX-corner results and FF/FX-corner results on a D850. Processing was done in Lightroom 7.3 / CRAW 10.3 from RAW with Adobe Color profile. Noise-reduction is set to 0, sharpening to 50/0.5/36/10, with no extra tone, color, or saturation-adjustment. White-balance was adjusted to a neutral white and I did some exposure compensation to make the brightness of all crops match. So you will not see light fall-off in the corners. CA-removal is ON. In my comparisons below the Tamron 70-200/2.8 VC G2 was shot on a D810 which has a 12% lower (linear) resolution than the D850 on which all the other lenses were shot. Still the results give a very good impression of comparable performance.
The following are all 100% crops!
First up is an overview of the wide-open performance at different focal lengths first without the use of a tele converter followed by shots using the Tamron TC-X14 tele converter. You can jump to the detailed results at different apertures and comparisons with other lenses by clicking on the crops of the respective focal length.
Tamron 70-210mm f4 VC at f4.0; 100% crop from center, APS-C/DX-corner, FF/FX-corner

Above: 70mm, f4.0

Above: 105mm, f4.0

Above: 150mm, f4.0

Above: 210mm, f4.0
The lens performs best around 150mm focal length where even the FF/FX-corner looks very sharp wide open. Performance within the APS-C/DX image circle is also very good at shorter focal lengths. At 210mm the lens is clearly weaker than at other focal lengths: the center is less well defined, the APS-C/DX-corner are soft, and the FF/FX-corner outright mushy.
Let’s see how well the new Tamron holds up using a tele converter.
Tamron 70-210mm f4 VC plus TC-X14 at f5.6; 100% crop from center, APS-C/DX-corner, FF/FX-corner

Above: 98mm, f5.6

Above: 210mm, f5.6

Above: 290mm, f5.6
With a 1.4x tele converter strengths and weaknesses of this lens become exposed like under a magnifying glass. At 98mm and 210mm focal length the lens still performs well in the APS-C/DX image circle with a very sharp center at 210mm. At 210mm the results with tele converter (at f5.6) look even slightly better than the results without it (at f4.0). But at 290mm focal length the combo becomes very soft even at the borders of the APS-C/DX image circle.
If you want to see all the details, read on. Or fast-forward to the performance at long distances.
Tamron 70-210mm f4 VC at 70mm; 100% crop from center, APS-C/DX-corner, FF/FX-corner

Above: 70mm, f4.0

Above: 70mm, f5.6

Above: 70mm, f8.0

Above: 70mm, f11
Following is a comparison with the competition at 70mm, f4.0:

Above: Tamron 70-210mm f4 VC at 70mm, f4.0

Above: Nikon 70-200/4.0G VR at 70mm, f4.0

Above: Nikon 70-200/2.8E VR at 70mm, f4.0

Above: Tamron 70-200/2.8 VC G2 on a D810 at 70mm, f4.0
The new Tamron sharpens up nicely when stopped down to f5.6. Comparing it to the competition at f4.0 shows that it is slightly behind with its biggest weakness being the FF/FX-corner. Its direct competitor from Nikon, the 70-200/4.0G VR, clearly produces the sharper results across the sensor.
Tamron 70-210mm f4 VC at 105mm; 100% crop from center, APS-C/DX-corner, FF/FX-corner

Above: 105mm, f4.0

Above: 105mm, f5.6

Above: 105mm, f8.0

Above: 105mm, f11
Following is a comparison with the competition at 105mm, f4.0:

Above: Tamron 70-210mm f4 VC at 105mm, f4.0

Above: Nikon 70-200/4.0G VR at 105mm, f4.0

Above: Nikon 70-200/2.8E VR at 105mm, f4.0

Above: Tamron 70-200/2.8 VC G2 on a D810 at 105mm, f4.0
Similar results at 105mm: The new Tamron is almost up there with the best in the APS-C/DX image circle but lags considerably at the FF/FX-corner which needs to be stopped down to f8 to become sharp. Best performers at this focal length are both f2.8 zooms from Nikon and Tamron.
Tamron 70-210mm f4 VC at 150mm; 100% crop from center, APS-C/DX-corner, FF/FX-corner

Above: 150mm, f4.0

Above: 150mm, f5.6

Above: 150mm, f8.0

Above: 150mm, f11
Following is a comparison with the competition at 150mm, f4.0:

Above: Tamron 70-210mm f4 VC at 150mm, f4.0

Above: Nikon 70-200/4.0G VR at 150mm, f4.0

Above: Nikon 70-200/2.8E VR at 150mm, f4.0

Above: Tamron 70-200/2.8 VC G2 on a D810 at 150mm, f4.0
Now at 150mm the new Tamron performs best: its performance in the center and the FF/FX-corner is right up there with the best only trailing at bit in the APS-C/DX-corner.
Tamron 70-210mm f4 VC at 210mm; 100% crop from center, APS-C/DX-corner, FF/FX-corner

Above: 210mm, f4.0

Above: 210mm, f5.6

Above: 210mm, f8.0

Above: 210mm, f11
Following is a comparison with the competition at 200mm, f4.0:

Above: Tamron 70-210mm f4 VC at 210mm, f4.0

Above: Nikon 70-200/4.0G VR at 200mm, f4.0

Above: Nikon 70-200/2.8E VR at 200mm, f4.0

Above: Tamron 70-200/2.8 VC G2 on a D810 at 200mm, f4.0
Unfortunately for a telephoto zoom the long end of the new Tamron clearly falls behind the competition. Only the center performance holds up. Stop down to at least f5.6 – or even f8 if you want satisfying performance in the FF/FX-corner.
Overall Tamron’s new lens is a good performer albeit with generally soft FF/FX-corners except for 150mm focal length where the lens really shines. Its biggest let-down is the sharp drop in performance between 150mm and 210mm.
Using a 1.4x tele converter reveals a similar pattern. The new Tamron is good at the short end of 98mm but topped by the competition. At 210mm (=150mm x 1.4) the lens is very close to its direct competitor, the Nikon 70-200/4.0G VR. At 290mm performance takes a big hit and only center performance is close to the Nikon 70-200/4.0G VR (with TC-14Eiii).
If you want to skip the details fast-forward to the performance at long distances.
Performance at 98mm:
Tamron 70-210mm f4 VC plus TC-X14 at 98mm; 100% crop from center, APS-C/DX-corner, FF/FX-corner

Above: 98mm, f5.6

Above: 98mm, f8.0

Above: 98mm, f11
Following is a comparison with the competition at 98mm, f5.6:

Above: Tamron 70-210mm f4 VC plus TC-X14 at 98mm, f5.6

Above: Nikon 70-200/4.0G VR plus TC-14Eiii at 100mm, f5.6

Above: Nikon 70-200/2.8E VR TC-14Eiii at 100mm, f5.6

Above: Tamron 70-200/2.8 VC G2 plus TC-X14 on a D810 at 150mm, f5.6
Tamron 70-210mm f4 VC plus TC-X14 at 210mm; 100% crop from center, APS-C/DX-corner, FF/FX-corner

Above: 210mm, f5.6

Above: 210mm, f8.0

Above: 210mm, f11
Following is a comparison with the competition at 210mm, f5.6:

Above: Tamron 70-210mm f4 VC plus TC-X14 at 210mm, f5.6

Above: Nikon 70-200/4.0G VR TC-14Eiii at 200mm, f5.6

Above: Nikon 70-200/2.8E VR TC-14Eiii at 200mm, f5.6

Above: Tamron 70-200/2.8 VC G2 plus TC-X14 on a D810 at 200mm, f5.6
Tamron 70-210mm f4 VC plus TC-X14 at 290mm; 100% crop from center, APS-C/DX-corner, FF/FX-corner

Above: 290mm, f5.6

Above: 290mm, f8.0

Above: 290mm, f11
Following is a comparison with the competition at 280mm, f5.6:

Above: Tamron 70-210mm f4 VC plus TC-X14 at 290mm, f5.6

Above: Nikon 70-200/4.0G VR TC-14Eiii at 280mm, f5.6

Above: Nikon 70-200/2.8E VR TC-14Eiii at 280mm, f5.6

Above: Tamron 70-200/2.8 VC G2 plus TC-X14 on a D810 at 280mm, f5.6
The Siemens-star test-targets are shot at a distance of 45x focal length (i.e. at 9 m for 200 mm focal length). But performance of lenses also depends on the shooting distance. Therefore I present another series of test-shots of a city-scape around 1km away. Processing was done in Lightroom 7.3 / CRAW 10.3 from RAW at Adobe Color profile. Noise-reduction is set to 0, sharpening to 50/0.5/36/10, with no extra tone, or saturation-adjustment. There’s no tinkering with vignette-control so you see it here as it is produced by the lens. I used AF in live view at the largest aperture and did not change focus for other apertures. As usual I have selected the diagonal that provided the better corner results as almost any lens is a bit decentered.
First up is an overview of the wide-open performance at different focal lengths first without the use of a tele converter followed by shots using the Tamron TC-X14 tele converter. You can jump to the detailed results at different apertures and comparisons with other lenses by clicking on the crops of the respective focal length.
Tamron 70-210mm f4 VC at f4.0; 100% crop from center, APS-C/DX-corner, FF/FX-corner

Above: 70mm, f4.0

Above: 105mm, f4.0

Above: 150mm, f4.0

Above: 210mm, f4.0
Tamron 70-210mm f4 VC plus TC-X14 at f5.6; 100% crop from center, APS-C/DX-corner, FF/FX-corner

Above: 98mm, f5.6

Above: 210mm, f5.6

Above: 290mm, f5.6
The new Tamron repeats its performance from the earlier tests in this long distance test: It’s best at 150mm (or 210mm with 1.4x tele converter), clearly weaker at the long end, and good to very good below 150mm within the APS-C/DX image circle.
If you want to see all the details and comparisons with the competition, read on. Or fast-forward to the next chapter on vignetting.
The main image shows the complete scene wide open to give you an impression of the angle of view and to judge vignetting. You can access the respective shots up to f11 via the links beneath the main image. All shots were made at ISO 64 and VR switched off. Following the main image are 100% crops from the center, the APS-C/DX-corner and the FF/FX-corner from the new Tamron, the Nikon 70-200/4.0G VR, and the Nikon 70-200/2.8E VR wide open to compare performance and then from the new lens down to f11. All lenses were shot within minutes of each other.
You can click on each image to access the large original. Please respect our copyright and only use those images for personal use.
Results at 70mm focal length:

Above: Tamron 70-210mm f4 VC at 70mm, f4.0; also available at f5.6, f8.0, f11

Above: Tamron 70-210mm f4 VC at 70mm, f4.0

Above: Nikon 70-200/4.0G VR at 70mm, f4.0; also available at f5.6, f8.0, f11

Above: Nikon 70-200/2.8E VR at 70mm, f4.0; also available at f2.8, f5.6, f8.0, f11

Above: Tamron 70-210mm f4 VC at 70mm, f5.6

Above: Tamron 70-210mm f4 VC at 70mm, f8.0

Above: Tamron 70-210mm f4 VC at 70mm, f11
At 70mm the new Tamron is outperformed by the competition from Nikon if you use it wide open at f4.0. But stopped down to f5.6 the performance is almost a match.
Results at 105mm:

Above: Tamron 70-210mm f4 VC at 105mm, f4.0; also available at f5.6, f8.0, f11

Above: Tamron 70-210mm f4 VC at 105mm, f4.0

Above: Nikon 70-200/4.0G VR at 105mm, f4.0; also available at f5.6, f8.0, f11

Above: Nikon 70-200/2.8E VR at 105mm, f4.0; also available at f2.8, f5.6, f8.0, f11

Above: Tamron 70-210mm f4 VC at 105mm, f5.6

Above: Tamron 70-210mm f4 VC at 105mm, f8.0

Above: Tamron 70-210mm f4 VC at 105mm, f11
Same at 105mm focal length: stop down to f5.6 and the performance is very good.
Results at 150mm:

Above: Tamron 70-210mm f4 VC at 150mm, f4.0; also available at f5.6, f8.0, f11

Above: Tamron 70-210mm f4 VC at 150mm, f4.0

Above: Nikon 70-200/4.0G VR at 150mm, f4.0; also available at f5.6, f8.0, f11

Above: Nikon 70-200/2.8E VR at 150mm, f4.0; also available at f2.8, f5.6, f8.0, f11

Above: Tamron 70-210mm f4 VC at 150mm, f5.6

Above: Tamron 70-210mm f4 VC at 150mm, f8.0

Above: Tamron 70-210mm f4 VC at 150mm, f11
At 150mm the new Tamron performs best and can easily keep up with the competition.
Results at 210mm:

Above: Tamron 70-210mm f4 VC at 210mm, f4.0; also available at f5.6, f8.0, f11

Above: Tamron 70-210mm f4 VC at 210mm, f4.0

Above: Nikon 70-200/4.0G VR at 200mm, f4.0; also available at f5.6, f8.0, f11

Above: Nikon 70-200/2.8E VR at 200mm, f4.0; also available at f2.8, f5.6, f8.0, f11

Above: Tamron 70-210mm f4 VC at 210mm, f5.6

Above: Tamron 70-210mm f4 VC at 210mm, f8.0

Above: Tamron 70-210mm f4 VC at 210mm, f11
210mm focal length is not the forte of the new Tamron. But the center still delivers good sharpness.
Let’s see how the lens performs on Tamron’s TC-X14 1.4x tele converter in this long distance test.
Results at 98mm:

Above: Tamron 70-210mm f4 VC plus TC-X14 at 98mm, f5.6; also available at f8.0, f11

Above: Tamron 70-210mm f4 VC plus TC-X14 at 98mm, f5.6

Above: Nikon 70-200/4.0G VR plus TC-14Eiii at 100mm, f5.6; also available at f8.0, f11

Above: Nikon 70-200/2.8E VR plus TC-14Eiii at 100mm, f5.6; also available at f4.0, f8.0, f11

Above: Tamron 70-210mm f4 VC plus TC-X14 at 98mm, f8.0

Above: Tamron 70-210mm f4 VC plus TC-X14 at 98mm, f11
Stopping down to f8 will improve performance with the 1.4x tele converter visibly almost up to the competition.
Results at 210mm:

Above: Tamron 70-210mm f4 VC plus TC-X14 at 210mm, f5.6; also available at f8.0, f11

Above: Tamron 70-210mm f4 VC plus TC-X14 at 210mm, f5.6

Above: Nikon 70-200/4.0G VR plus TC-14Eiii at 200mm, f5.6; also available at f8.0, f11

Above: Nikon 70-200/2.8E VR plus TC-14Eiii at 200mm, f5.6; also available at f4.0, f8.0, f11

Above: Tamron 70-210mm f4 VC plus TC-X14 at 210mm, f8.0

Above: Tamron 70-210mm f4 VC plus TC-X14 at 210mm, f11
At 210mm (with 1.4x tele converter) the performance of the new Tamron matches the competition at f5.6. No need to stop down.
Results at 290mm:

Above: Tamron 70-210mm f4 VC plus TC-X14 at 290mm, f5.6; also available at f8.0, f11

Above: Tamron 70-210mm f4 VC plus TC-X14 at 290mm, f5.6

Above: Nikon 70-200/4.0G VR plus TC-14Eiii at 280mm, f5.6; also available at f8.0, f11

Above: Nikon 70-200/2.8E VR plus TC-14Eiii at 280mm, f5.6; also available at f4.0, f8.0, f11

Above: Tamron 70-210mm f4 VC plus TC-X14 at 290mm, f8.0

Above: Tamron 70-210mm f4 VC plus TC-X14 at 290mm, f11
Even stopping down to f8 does not bring the performance of the new Tamron plus 1.4x tele converter up to the competition.
Vignetting
To make it easier to compare light fall-off in the corners of a full-frame sensor I’ve arranged a series of three shots each with the Tamron and the Nikon at different apertures. From left to right: f4, f5.6, and f8. First at 70mm:

Above: Tamron 70-210mm f4 VC vs. Nikon 70-200mm f4G VR at 70mm
Tehn at 210/200mm focal length:

Above: Tamron 70-210mm f4 VC at 210mm vs. Nikon 70-200mm f4G VR at 200mm
At 70mm the Tamron has similar vignetting wide open to the Nikon, but the Nikon pulls ahead at f5.6. At 210mm the Tamron shows less vignetting than the Nikon (at 200mm) wide open and stopped down.
Rendering of point-light sources at night-shots
Night-shots pose a different challenge for lenses as the contrast is even higher than under bright sun and point-light sources can reveal some weaknesses such as coma, haloing and color-aberrations that do not show up as prominently in other test-shots. The 100% crops below the main image show the effect of coma in the lower right FF/FX corner of the new Tamron at 70mm focal length and various apertures:

Above: Tamron 70-210mm f4 VC at 70mm, f4. Click image to access original at Flickr; also available at f5.6, f8.0

Above: Tamron 70-210mm f4 VC at 70mm; FX corner at f4, f5.6, f8
The new Tamron has a little bit of coma at f4 but the Nikon 70-200mm f4G VR has even less. See below:

Above: Nikon 70-200mm f4G VR at 70mm; FX corner at f4, f5.6, f8
Rendering of out-of-focus point-light sources and Bokeh
This test is for the rendering of point-light sources in an out-of-focus background. The circle of confusion that is produced by this test is pretty indicative of Bokeh performance (in the background) and light fall-off. Ideally the out-of-focus image of the point-light is evenly lit and perfectly circular, with no “onion-rings”, and without coloration. Large aperture lenses normally produce an effect known as “cat’s eye” the further away from the optical axis the point-light is projected. This is due to optical vignetting in the lens barrel when light enters the lens from an angle.

Above: Tamron 70-210mm f4 VC at 210mm, f4. Click image to access original at Flickr; also available at f5.6, f8

Above: Tamron 70-210mm f4 VC at 210mm, f4. 44% crop from center, DX-corner, FX-corner
The 44% crops above show that the Tamron 70-210mm f4 VC produces small Bokeh balls when used wide open – as was to be expected from an f4 lens. It exhibits no onion rings but creates a slightly blotchy structure inside the circles of confusion. The light-distribution across the circle is very even, outlining is nearly non-existent except towards the FF/FX-corner and shows no green coloration from loCA. There’s some cat’s eye effect which reduces the size of the Bokeh balls towards the corners and may generate some nervousness in out-of-focus areas there. The lens produced no clipping from the mirror-box.
In comparison the Nikon 70-200mm f4G VR produces slightly smaller Bokeh balls which are also not perfectly circular even in the center of the image. Seems like the aperture is protruding just slightly into the path of light even when completely open. This might be an individual problem of my copy The Nikon also shows more outlining than the Tamron.

Above: Nikon 70-200mm f4G VR at 200mm, f4. 44% crop from center, DX-corner, FX-corner; also available at f5.6, f8
Now let’s see how this analysis of out-of-focus point-light sources translates into Bokeh-performance shooting a bookshelf. I used the longest focal length that I could to produces a comparable shot to my other reviews which in the case of the new Tamron was 145mm:

Above: Tamron 70-210mm f4 VC at 145mm, f4; also available at f5.6, f8

Above: Tamron 70-210mm f4 VC at 145mm, f4. 44% crop from foreground, middle-ground, background
Following is the Nikon 70-200mm f4G VR shot from the same position. I had to zoom in to 140mm to achieve the same magnification.

Above: Nikon 70-200mm f4G VR at 140mm, f4. 44% crop from foreground, middle-ground, background.Click image to access original at Flickr; also available at f5.6, f8
The new Tamron produces a slightly better blur than the Nikon especially in the foreground. Both lenses are also free from longitudinal CAs that would give the letters in the middle-ground a greenish halo. But naturally the amount of Bokeh from any f4 lens is limited.
Let’s see what an f2.8 zoom like the Tamron 70-200mm f2.8 VC G2 can achieve wide open and zoomed in to 175mm focal length. But not to worry: that produces the same magnification as in the above shots.

Above: Tamron 70-200mm f2.8 VC at 175mm, f2.8, shot on a Nikon D810. 50% crop from foreground, middle-ground, background.Click image to access original at Flickr; also available at f4, f5.6, f8
Clearly the f2.8 Tamron produces the softer Bokeh when shot wide open. This is clearly the benefit of the larger focal ratio.
Flare/ghosting
Catching a strong light-source shining directly into the lens is always a risky business. It could produce strange colorful ghosts-images or reduce contrast considerably through flare and glare. The appearance of flare and ghosting depends on factors like the aperture and the angle of the light hitting the lens. So to judge the proclivity of the Tamron for these artifacts I went through a series of well calculated shots against a strong light source to provoke glare and ghosting. The lens hood was attached in all of these tests.
The new lens is quite prone to flare and glare. Especially on the long end having a strong light-source inside or even just outside the corner of the frame (see image on the right below) should be avoided as veiling glare and ghosting heavily reduces the contrast. On the short end the lens behaves less critical and maintains overall contrast much better. Still it produces clearly visible flares and ghosts when the light is inside the frame. And sunstars are not a forte of the new Tamron. Following are two of the more extreme effects:

Above: Flare and ghosting. Strong light hitting the Tamron 70-210mm f4 VC at 70mm, f11 (left) and 210mm, f11 (right)
In comparison the Nikon is a little less susceptible when the light is just outside the corner of the frame but it more easily produces streaks/rays and it has even less well defined sunstars.

Above: Flare and ghosting. Strong light hitting the Nikon 70-200mm f4G VR at 70mm, f11 (left) and 200mm, f11 (right)
Check prices at Amazon, B&H, Adorama, eBay or Wex. Alternatively get yourself a copy of my In Camera book, an official Cameralabs T-shirt or mug, or treat me to a coffee! Thanks!




