Tamron 16-30mm f2.8 Di III G2 review
-
-
Written by Thomas
Quality
Longitudinal Chromatic Aberration and focus shift
I tested the Tamron 16-30mm f2.8 Di III G2 at 30mm for longitudinal color aberrations (loCA, a.k.a. “axial color” or “bokeh CA”) and focus shift. The former can show up as magenta coloration in the foreground and greenish hues in the background and are not easily corrected in post-processing. The lens shows practically no loCA or focus shift:
Tamron 16-30mm f2.8 Di III G2 longitudinal Chromatic Aberration (loCA) at 30mm
100% crops at 30mm f2.8 (top), f4.0 (middle), f5.6 (bottom); 50% crops, left = foreground, right = background; click image for 100% crops
But the tests also revealed that the lens is a bit soft wide open at 30mm focal length. See for comparison the same shot at 24mm and 16mm focal length:
Tamron 16-30mm f2.8 Di III G2 longitudinal Chromatic Aberration (loCA) at 24mm + 16mm
100% crops at 24mm f2.8 (top), 16mm f2.8 (bottom); 50% crops, left = foreground, right = background; click image for 100% crops
In all of my test-shots with the the Tamron 16-30mm f2.8 Di III G2 I could not detect any noteworthy purple fringing around high-contrast edges or specular highlights in the focus plane. Not even in the torture test with the fountain in bright sunlight (see 4th image on the next page).
Above: Tamron 16-30mm f2.8 Di III G2 at 30mm f2.8, 100% crop; click image for 4k version, here for large original
Spill-over of bright background light is relatively well controlled as is green outlining around background subjects which can only be seen under the harshest conditions.
Sharpness and contrast
Let’s have a look at the theoretical performance of the new Tamron 16-30mm f2.8 Di III G2 and compare it to the alternatives:

Above: Tamron 16-30mm f2.8 Di III G2, 16mm f2.8 (left), 30mm f2.8 (right)

Above: Tamron 17-28mm f2.8 Di III, 17mm f2.8 (left), 28mm f2.8 (right)

Above: Nikon Z 14-24mm f2.8 S, 14mm f2.8 (left), 24mm f2.8 (right)

Above: Nikon Z 14-30mm f4 S, 14mm f4.0 (left), 30mm f4.0 (right)

Above: Sony FE 16-35mm f2.8 GM II, 16mm f2.8 (left), 35mm f2.8 (right)
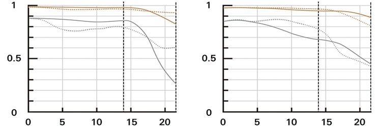
These MTF charts show the computed lens-performance of lenses wide open without influence of diffraction at 10 line-pairs/mm (red/yellow) and 30 lp/mm (blue/grey). Higher values are better (more contrast) and the closer the dotted and solid lines are together the less contrast dependents on the orientation of the test-pattern (less astigmatism). The x-axis displays the distance from the optical axis (=center of the sensor) in mm.
From the charts the Tamron 16-30mm f2.8 Di III G2 does not look much different from its predecessor, the 17-28mm f2.8 Di III: There is a little less astigmatism on the short end but more on the long end, and contrast values look pretty similar. Both Z-Nikkors and the Sony show a slower decline in sharpness towards the FF/FX-corner at the wide end. And the Sony FE 16-35mm f2.8 GM II looks like the sharpest lens at the long end.
Let’s see how this theoretical performance translates into real life results in the sharpness test based on Siemens-stars shot on a 45MP Nikon Z8 set to 16 image Pixel shift shooting. The 16 individual images for each shot were merged in NX Studio 1.9.0 into a 180MP RAW file and further processed in Lightroom 14.5/CRAW 17.5 to Adobe Color profile with the lens profile compensating CA, distortions and vignetting. Noise-reduction was set to 0, sharpening to 50/1/36/10, with no extra tone, color, or saturation adjustment. White-balance was adjusted to a neutral white and I did some exposure compensation to make the brightness of all crops match. So you will not see light fall-off in the corners. I also focused separately for the center, the DX-corner, and FX-corner which eliminates any effect field-curvature might have. If you want to know more about the advantages and perils of pixel shift shooting head over to page 2 of my Tamron 28-75mm f2.8 Nikon Z review.
First up is an overview of the wide-open performance at different focal lengths (presented as 50% crops). You can jump to the detailed results at different apertures and comparisons with other lenses by clicking on the crops of the respective focal length.
Tamron 16-30mm f2.8 Di III G2; 50% crops from 180MP image near center, APS-C/DX-corner, FF/FX-corner
Above: 16mm, f2.8
Above: 20mm, f2.8
Above:24mm, f2.8
Above: 30mm, f2.8
In this overview Tamron’s 16-30mm f2.8 Di III G2 looks best at 16mm with only a mild loss of sharpness towards the FF/FX-corner. Zooming in gradually reduces sharpness overall a bit with a steep drop in the FX-corner at 30mm. Field curvature is present at all focal lengths but relatively mild.
Detailed results
The following crops for each focal length show the Tamron 16-30mm f2.8 Di III G2 from wide open down to f11 compared to the Tamron 17-28mm f2.8 Di III (shot on a 42MP Sony A7R II), Nikon Z 14-30mm f4 S, and Nikon Z 14-24mm f2.8 S (shot on a 45MP Nikon Z7) at 16mm, 20mm, 24mm, and 30mm. Or you skip the detail and fast-forward to the summary for this chapter. One remark regarding comparisons shot on a Sony A7R II: With linear resolution of the 42MP A7R II sensor only 4% lower than from the 45MP Z7, identical test set-up, and identical RAW processing the comparability between the test-shots should be very good.
Performance at 16mm:
Tamron 16-30mm f2.8 Di III G2 at 16mm compared; 50% crops from 180MP image near center, APS-C/DX-corner, FF/FX-corner
Above: Tamron 16-30mm f2.8 Di III G2 at 16mm, f2.8; click image for full resolution 100% crops

Above: Tamron 17-28mm f2.8 on a Sony A7R II (100% crops from 42MP) at 17mm, f2.8; also available at f4.0, f5.6, f8.0, f11

Above: Nikon Z 14-24mm f2.8 S on a Nikon Z7 (100% crops from 45MP) at 17mm, f2.8; also available at f4.0, f5.6, f8.0, f11, and at 14mm f2.8, f4.0, f5.6, f8.0, f11
Above: Tamron 16-30mm f2.8 Di III G2 at 16mm, f4.0; click image for full resolution 100% crops

Above: Nikon Z 14-30mm f4 S at 16mm, f4.0; also available at f5.6, f8.0, f11, and at 14mm f4.0, f5.6, f8.0, f11
Above: Tamron 16-30mm f2.8 Di III G2 at 16mm, f5.6; click image for full resolution 100% crops; also available at f8.0, f11
At 16mm the Tamron 16-30mm f2.8 Di III G2 shows a softer center but improved FF/FX-corner over its predecessor. That makes the new Tamron also lag behind the Nikon Z 14-24mm at f2.8.
Performance at 20mm:
Tamron 16-30mm f2.8 Di III G2 at 20mm compared; 50% crops from 180MP image near center, APS-C/DX-corner, FF/FX-corner
Above: Tamron 16-30mm f2.8 Di III G2 at 20mm, f2.8; click image for full resolution 100% crops

Above: Tamron 17-28mm f2.8 on a Sony A7R II (100% crops from 42MP) at 20mm, f2.8; also available at f4.0, f5.6, f8.0, f11

Above: Nikon Z 14-24mm f2.8 S on a Nikon Z7 (100% crops from 45MP) at 20mm, f2.8; also available at f4.0, f5.6, f8.0, f11
Above: Tamron 16-30mm f2.8 Di III G2 at 20mm, f4.0; click image for full resolution 100% crops
Above: Nikon Z 14-30mm f4 S at 20mm, f4.0; click image for full resolution 100% crops; also available at f5.6, f8.0, f11
Above: Tamron 16-30mm f2.8 Di III G2 at 20mm, f5.6; click image for full resolution 100% crops; also available at f8.0, f11
Similar story as at 16mm. At f4.0 the Tamron G2 is clearly softer in the center than the Nikon Z 14-30mm f4 S (but sharper in the DX-corner).
Performance at 24mm:
Tamron 16-30mm f2.8 Di III G2 at 24mm compared; 50% crops from 180MP image near center, APS-C/DX-corner, FF/FX-corner
Above: Tamron 16-30mm f2.8 Di III G2 at 24mm, f2.8; click image for full resolution 100% crops

Above: Tamron 17-28mm f2.8 on a Sony A7R II (100% crops from 42MP) at 24mm, f2.8; also available at f4.0, f5.6, f8.0, f11

Above: Nikon Z 14-24mm f2.8 S on a Nikon Z7 (100% crops from 45MP) at 24mm, f2.8; also available at f4.0, f5.6, f8.0, f11
Above: Tamron 16-30mm f2.8 Di III G2 at 24mm, f4.0; click image for full resolution 100% crops
Above: Nikon Z 14-30mm f4 S at 24mm, f4.0; click image for full resolution 100% crops; also available at f5.6, f8.0, f11
Above: Tamron 16-30mm f2.8 Di III G2 at 24mm, f5.6; click image for full resolution 100% crops; also available at f8.0, f11
Similar results at 24mm: The new Tamron G2 lags in center sharpness but has comparatively good FF/FX-corners.
Performance at 30mm:
Tamron 16-30mm f2.8 Di III G2 at 30mm compared; 50% crops from 180MP image near center, APS-C/DX-corner, FF/FX-corner
Above: Tamron 16-30mm f2.8 Di III G2 at 30mm, f2.8; click image for full resolution 100% crops

Above: Tamron 17-28mm f2.8 on a Sony A7R II (100% crops from 42MP) at 28mm, f2.8; also available at f4.0, f5.6, f8.0, f11
Above: Tamron 16-30mm f2.8 Di III G2 at 30mm, f4.0; click image for full resolution 100% crops
Above: Nikon Z 14-30mm f4 S at 30mm, f4.0; click image for full resolution 100% crops; also available at f5.6, f8.0, f11
Above: Tamron 16-30mm f2.8 Di III G2 at 30mm, f5.6; click image for full resolution 100% crops; also available at f8.0, f11
At 30mm the Tamron G2 clearly falls behind its predecessor and needs stopping down to f4.0 to catch up – where it’s then neck and neck with the Nikon Z 14-30mm f4 S: A bit sharper at the DX-corner, a bit softer at the FX-corner.
Summary:
The comparisons show that the new Tamron G2 zoom is less sharp than its predecessor (and other lenses) in the APS-C/DX image circle and especially in the center. This is a bit disappointing as I had hoped the new optical formula would lead to improved results over the older Tamron. But I’d still rate the overall sharpness of the Tamron 16-30mm f2.8 Di III G2 at f2.8 as good to very good up to 24mm focal length while 30mm needs stopping down to f4.0 to lift performance visibly.
Performance at long distances
The Siemens-star test-targets are shot at a distance of 45x focal length (i.e. at around 1.4m for 30mm focal length). But performance of lenses also depends on the shooting distance. Therefore, I shot another series of a city around 1 km away on a Nikon Z8 set to 16 image pixel shift shooting. The 16 individual images for each shot were merged in NX Studio 1.9.0 into a 180MP RAW file and further processed in Lightroom 14.5/CRAW 17.5 to Adobe Color profile with the the lens profile compensating CAs, distortions, and vignetting. Noise-reduction was set to 0, sharpening to 50/1/36/10, with no extra tone, color, or saturation adjustment. I used manual focus at the largest aperture and did not change focus for other apertures. All shots were made from a heavy tripod with image stabilization switched off at ISO 64. As usual I have selected the diagonal that provided the better corner results as the lens was slightly decentered.
The following images show the complete scene wide open plus 50% crops from near center, APS-C/DX-corner, and FF/FX-corner. All crops in a row are from the same image so there is no compensation for field curvature. For comparison I added images from the Nikon Z 14-30mm f4 S shot only minutes apart. You can access the large 180MP original at f2.8 plus 100% crops, but the files are for personal evaluation only and cannot be used in another publication or website without permission.
Tamron 16-30mm f2.8 Di III G2 at 16mm
Above: Tamron 16-30mm f2.8 Di III G2 at 16mm f2.8; click large image for 4k version, here for large original
Above: Tamron 16-30mm f2.8 Di III G2 at 16mm f4.0; click large image for 4k version, here for large original; crops also available at f5.6, f8.0
Above: Nikon Z 14-30mm f4 S at 16mm f4.0; click large image for 4k version, here for large original; crops also available at f5.6, f8.0, and at 14mm f4.0, f5.6, f8.0
Tamron 16-30mm f2.8 Di III G2 at 20mm
Above: Tamron 16-30mm f2.8 Di III G2 at 20mm f2.8; click image for 4k version, here for large original
Above: Tamron 16-30mm f2.8 Di III G2 at 20mm f4.0; click image for 4k version, here for large original; crops also available at f5.6, f8.0
Above: Nikon Z 14-30mm f4 S at 20mm f4.0; click large image for 4k version, here for large original; crops also available at f5.6, f8.0
Tamron 16-30mm f2.8 Di III G2 at 24mm
Above: Tamron 16-30mm f2.8 Di III G2 at 24mm f2.8; click image for 4k version, here for large original
Above: Tamron 16-30mm f2.8 Di III G2 at 24mm f4.0; click image for 4k version, here for large original; crops also available at f5.6, f8.0
Above: Nikon Z 14-30mm f4 S at 24mm f4.0; click large image for 4k version, here for large original; crops also available at f5.6, f8.0
Tamron 16-30mm f2.8 Di III G2 at 30mm
Above: Tamron 16-30mm f2.8 Di III G2 at 30mm f2.8; click image for 4k version, here for large original
Above: Tamron 16-30mm f2.8 Di III G2 at 30mm f4.0; click image for 4k version, here for large original; crops also available at f5.6, f8.0
Above: Nikon Z 14-30mm f4 S at 30mm f4.0; click large image for 4k version, here for large original; crops also available at f5.6, f8.0
Summary:
In this long-distance test the Tamron 16-30mm f2.8 Di III G2 again shows good to very good overall sharpness wide open. It’s best at the short end and performance declines a bit towards 24mm focal length. Zooming to 30mm makes the lens visibly softer with halos around high contrast edges even in the center and reduced resolution of the APS-C/DX and FF/FX-corner. Stopping down to f4.0 snaps performance in the center back to very good but the corners still remain a bit blurry and less sharp than from the Nikon Z 14-30mm f4 S.
Vignetting and distortions
To make it easier to see light fall-off in the corners of a full-frame sensor I’ve arranged a series of three shots each with the Tamron 16-30mm f2.8 Di III G2 at 16mm and 30mm focal length and different apertures. All images were developed from RAW to the same brightness in the center and are shown with vignetting correction from the lens profile Off (1st row) or Normal/100% (2nd row):

Above: Tamron 16-30mm f2.8 Di III G2 at 16mm focal length with vignette correction Off (top) or Normal/100% (bottom)

Above: Tamron 16-30mm f2.8 Di III G2 at 30mm focal length with vignette correction Off (top) or Normal/100% (bottom)
At 16mm focal length vignetting is very visible even up to f5.6 when left uncorrected. At 30mm focal length the lens shows some vignetting wide open but it becomes pretty unobtrusive once stopped down to f4.0. With vignette control set to Normal/100% the extreme corners are lifted by 0.8-0.9 EV at f2.8 – which still leaves a visible vignette at 16mm.
Handling of lens profiles by Adobe’s RAW converter continues to be confusing. Set vignetting and distortion control in camera to On and the Tamron 16-30mm f2.8 Di III G2 gets its lens profile applied but you can change the strength of the correction in post-processing with sliders between 0 and 200%: Very good! But if you switch vignetting control in camera to Off the slider to control the strength of vignetting in Lightroom or CRAW is disabled. While if you switch distortion control in camera to Off Lightroom/CRAW simply ignore this and the slider is still enabled and set to 100%. NX Studio always applies what was set in camera but you can switch vignetting and distortion control On or Off (unless you have a lens which does not allow auto distortion control to be switched Off like the Nikon Z 14-30mm f4 S). So it’s better to leave the lens profile in camera On which enables all options when processing the image in Lightroom/CRAW.
The following composite images shows the upper half of a large screen TV set displaying grid lines for the full frame and cropped frame. Distortions at 16mm are a pretty strong barrel/mustachio type, which becomes a strong pincushion at 30mm. They are perfectly corrected for by the lens profile:

Distortions: Tamron 16-30mm f2.8 Di III G2 at 16mm, as is (top) / with lens-profile at 100% (bottom)

Distortions: Tamron 16-30mm f2.8 Di III G2 at 30mm, as is (top) / with lens-profile at 100% (bottom)
Rendering of point-light sources at night-shots
Night-shots pose a different challenge for lenses as the contrast is even higher than under bright sun and point-light sources can reveal some weaknesses such as coma, haloing and colour-aberrations that do not show up as prominently in other test-shots. The 100% crops below the main image show the effect of coma in the FF/FX-corner of the Tamron 16-30mm f2.8 Di III G2 at 30mm and 16mm focal length and different apertures:
Above: Tamron 16-30mm f2.8 Di III G2 at 30mm, f2.8; click image for 4k version, here for large original

Above: Tamron 16-30mm f2.8 Di III G2 at 30mm; 100% crops from the FX-corner at f2.8 (left), f4.0 (middle), f5.6 (right)
Above: Tamron 16-30mm f2.8 Di III G2 at 16mm, f2.8; click image for 4k version, here for large original

Above: Tamron 16-30mm f2.8 Di III G2 at 16mm; 100% crops from the FX-corner at f2.8 (left), f4.0 (middle), f5.6 (right)
The Tamron 16-30mm f2.8 Di III G2 shows almost no coma at 16mm. At 30mm focal length there’s a bit more coma plus there are blue halos around bright streetlights even in the center. This fits with my observations from the long distance shots at 30mm.
Bokeh quality
This test is for the rendering of point-light sources in an out-of-focus background. The circle of confusion that is produced by the test is pretty indicative of Bokeh performance (in the background) and light fall-off. Ideally the out-of-focus image of the point-light is evenly lit and perfectly circular, with no “onion-rings”, and without coloration. Lenses normally produce an effect known as “cat’s eye” the further away from the optical axis the point-light is projected. This is due to optical vignetting in the lens barrel when light enters the lens from an angle.
Above: Tamron 16-30mm f2.8 Di III G2 at 30mm, f2.8; click image for 4k version
Above: Tamron 16-30mm f2.8 Di III G2 at 30mm f2.8; click image for 100% crops
Above: Tamron 16-30mm f2.8 Di III G2 at 30mm f4.0; click image for 100% crops
Above: Tamron 16-30mm f2.8 Di III G2 at 30mm f5.6; click image for 100% crops
The diameter of the Bokeh balls in the center is determined by the entrance pupil of the lens which is only 11mm at the long end. Which makes it hard for the Tamron 16-30mm f2.8 Di III G2 (and any other similar lens) to achieve very blurred backgrounds – unless you shoot at close distances. The shots above were made with focus distance set to around 1m resulting in a magnification of 1:28. At a focus distance of 0.4m and a magnification of 1:10 the Bokeh balls would be almost 3x larger.
The Tamron 16-30mm f2.8 Di III G2 shows little compression of the circle in the APS-C/DX-corner and even the FF/FX-corner wide open. This is good. But the inside of the Bokeh balls at 30mm f2.8 shows a pupil-like effect in the APS-C/DX image circle which can lead to background Bokeh with doughnut-shaped rings around brighter highlights. At f4.0 the effect is gone – and there’s also no coloration from loCA.
Let’s see how this analysis of out-of-focus point-light sources translates into Bokeh-performance shooting a book-shelf. Crops are from the foreground, middle-ground, and background resized to make them comparable across all my reviews:
Above: Tamron 16-30mm f2.8 Di III G2 at 30mm f2.8; click image for 4k version, here for large original

Above: Tamron 16-30mm f2.8 Di III G2 at 30mm f2.8; click image for 100% crops, here for large original
Looking at the crops it is immediately clear that the Tamron 16-30mm f2.8 Di III G2 does not produce a strong Bokeh at this magnification. But at least it does not look harsh and shows no coloration. Looking at the ruler (below, now at 100%) shows that the lens is practically free of double-contours in the middle-ground but shows pretty strong ones in the foreground:

Above: Tamron 16-30mm f2.8 Di III G2 at 30mm f2.8, 100% crop from middle-ground

Above: Tamron 16-30mm f2.8 Di III G2 at 30mm f2.8, 100% crop from foreground
Close-up performance
The Tamron 16-30mm f2.8 Di III G2 achieves a maximum magnification of 1:4.3 at 16mm focal length with an area of sharp focus of 103 x 155mm. The following set of crops was shot at 1:4.9 from 0mm, 13mm, and 20mm off the center of the sensor respectively. I focused separately for each crop although field curvature of the lens at 16mm is relatively low.
Tamron 16-30mm f2.8 Di III G2 at 16mm, 1:4.9 magnification; 100% crops

Above: Tamron 16-30mm f2.8 Di III G2 at 16mm f2.8

Above: Tamron 16-30mm f2.8 Di III G2 at 16mm f5.6

Above: Tamron 16-30mm f2.8 Di III G2 at 16mm f11
Stopped down to f5.6 the lens produces a pretty sharp center (up to 8mm image height) and usable (but not good) sharpness towards the corners. Stopping down further does not improve image quality visibly.
At 30mm focal length the lens achieves a maximum magnification of 1:5.6 with an area of sharp focus of 134 x 202mm. The following set of crops was shot at 1:5.9 from 0mm, 13mm, and 19mm off the center of the sensor respectively. I focused separately for each crop because field curvature of the lens at 30mm is pretty high towards the FF/FX-corner.
Tamron 16-30mm f2.8 Di III G2 at 30mm, 1:5.9 magnification; 100% crops

Above: Tamron 16-30mm f2.8 Di III G2 at 30mm f2.8

Above: Tamron 16-30mm f2.8 Di III G2 at 30mm f5.6

Above: Tamron 16-30mm f2.8 Di III G2 at 30mm f11
As in my tests before, the lens suffers from reduced contrast at 30mm f2.8. But stopping down to f5.6 results in a sharp center (up to 10mm image height) and usable resolution towards the corners. F11 brings a slight increase in resolution.
Flare, ghosting, and sun-stars
Catching a strong light-source shining directly into the lens is always a risky business: it could produce strange colorful ghost-images or reduce contrast considerably through flare and glare. The appearance of flare and ghosting depends on factors like the aperture and the angle of the light hitting the lens. So to judge the proclivity of the Tamron 16-30mm f2.8 Di III G2 for these artifacts I went through a series of well calculated shots against a strong light source to provoke glare and ghosting. The lens hood was mounted in all shots. Following are two examples with flares. But they are so weak that you probably need to open the +3 EV version of the images to see them. The little red square inset in the upper left shows the respective area with an exposure compensation of +3 EV to make it easier to see which levels of black the lens renders at that point:
Above: Flare and ghosting. Strong light hitting the Tamron 16-30mm f2.8 Di III G2 at 16mm, f10; click image for 4k version or here for +3 EV exposure compensation
Above: Flare and ghosting. Strong light hitting the Tamron 16-30mm f2.8 Di III G2 at 30mm, f11; click image for 4k version or here for +3 EV exposure compensation
Throughout its zoom range the Tamron 16-30mm f2.8 Di III G2 produces very little ghosting artifacts or flares and no veiling glare: The blacks stay deep black so the lens can confidently be used in challenging contra-light situations. A very good result for such a complex optical design.
Sunstars are not the forte of the Tamron at any focal length: They are OK at f11 (see above) but not very prominent at f8.0 or faster apertures:

Above: Sunstars from the Tamron 16-30mm f2.8 Di III G2 at 16mm f8.0 (left), 30mm f8.0 (right); 100% crops
Next check out my sample images!
Check prices on the Tamron 16-30mm f2.8 Di III G2 at B&H, Adorama, WEX UK or Calumet.de. Buy used gear from MPB. Sell your used gear to MPB. Alternatively get yourself a copy of my In Camera book, an official Cameralabs T-shirt or mug, or treat me to a coffee! Thanks!















































